Alle Dokumente zum Nachrüstkatalysator HJS R 008 für den AD/AS Käfer Motor mit 1600 ccm ehem. VW Art. Nr. 113 298 029

Antrag Steueränderung

Allgemeine Information

Einbauanleitung


Allgemeine Betriebserlaubnis (ABE)

Seite 1

Seite 2

Seite 3

Seite 4

Seite 5


Einbauanleitung

Seite 1

Seite 2

Seite 2 Nachtrag

Seite 3

Seite 4

Seite 5

Seite 6

Seite 7

Seite 8


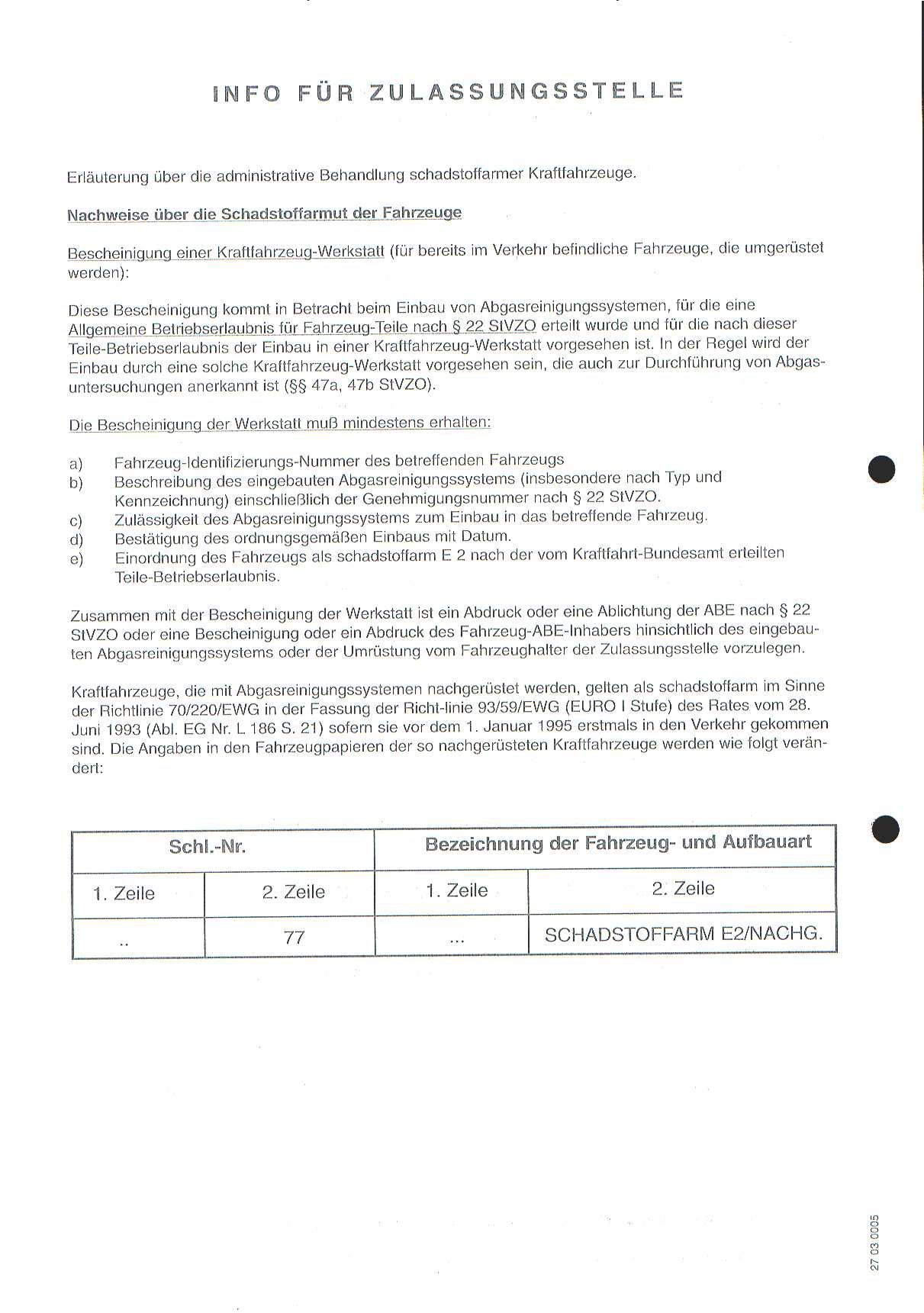
Allgemeine Information

Seite 1

Seite 2

Seite 3

Seite 4

Seite 5

Seite 6

Seite 7

Seite 8

Seite 9

Seite 10

Seite 11

Seite 12


Antrag Steueränderung

Antrag

Rückseite Antrag - Info